Toggle navigation
BAND1.ORG
香港試卷
下載試卷
上載試卷
新會員登記
登出
關於我們
聯絡我們
條款
作文技法
會員登入
全科
中
英
數
科
他
全部年級
P1
P2
P3
P4
P5
P6
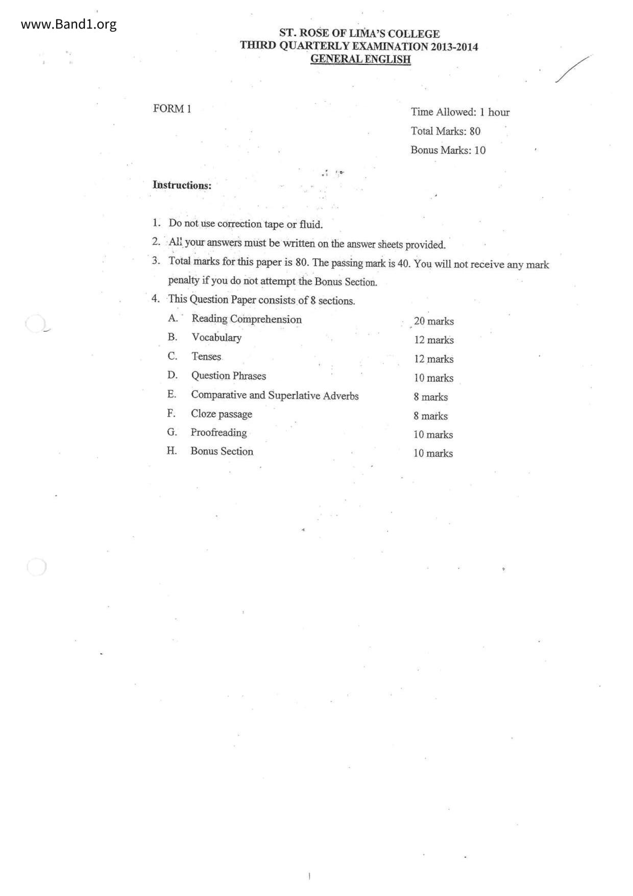
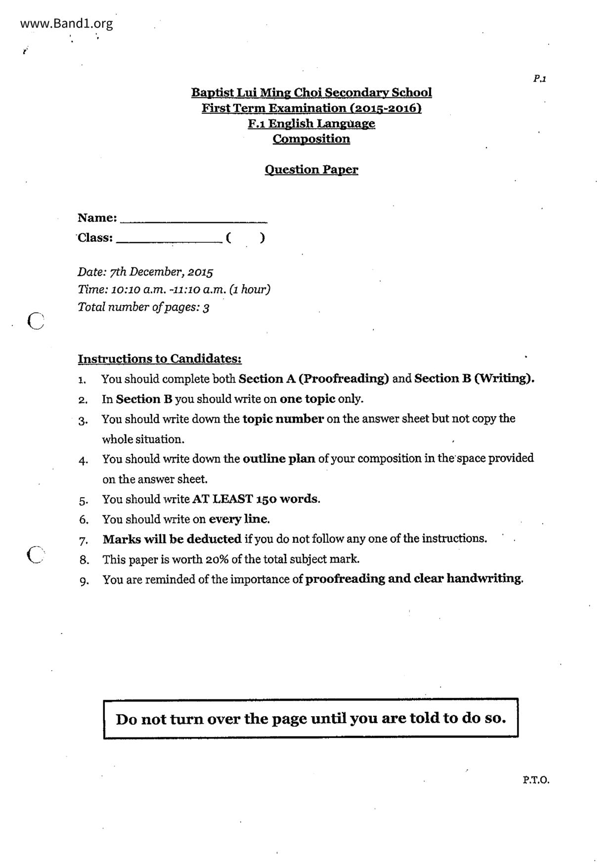
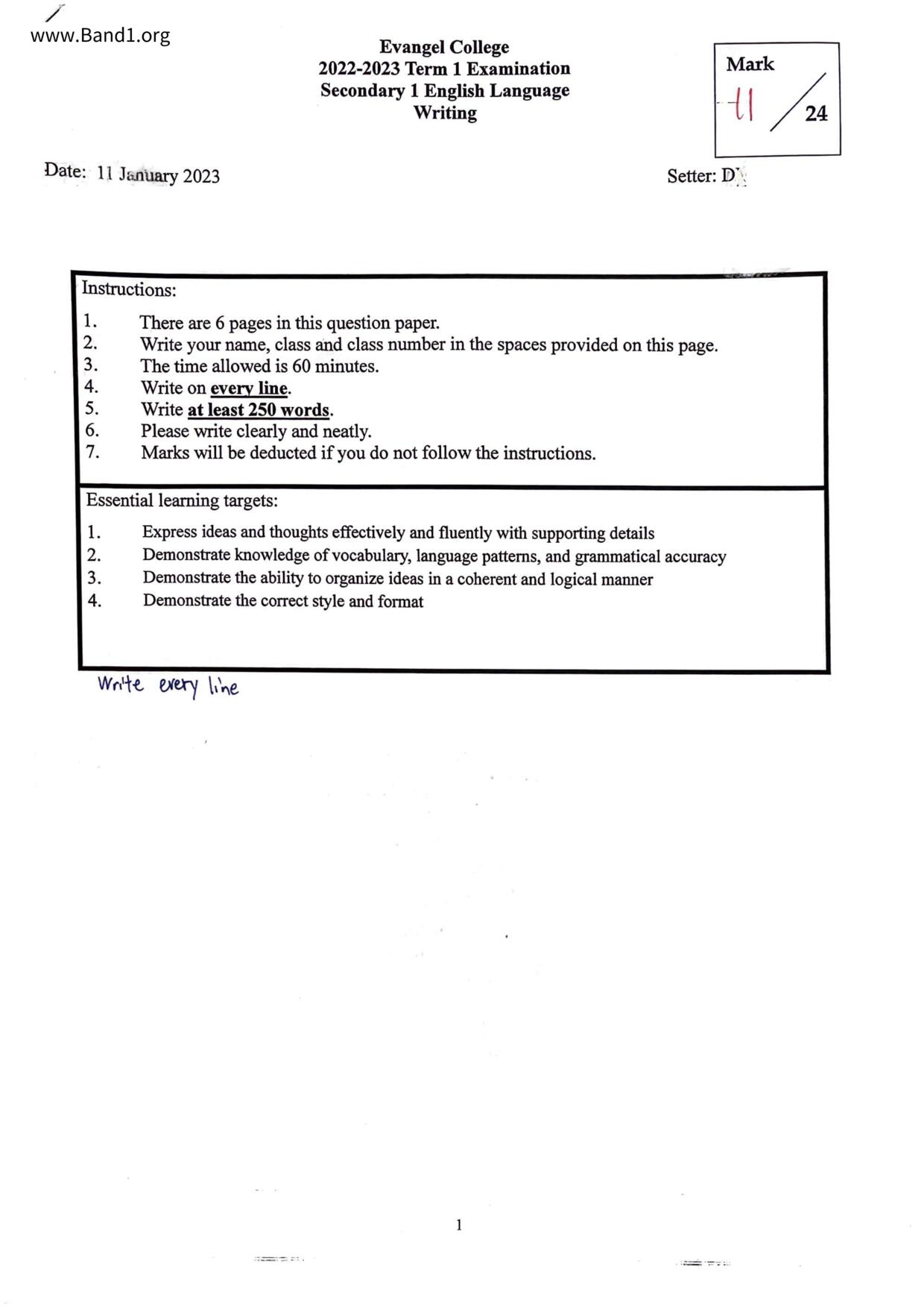
F1
F2
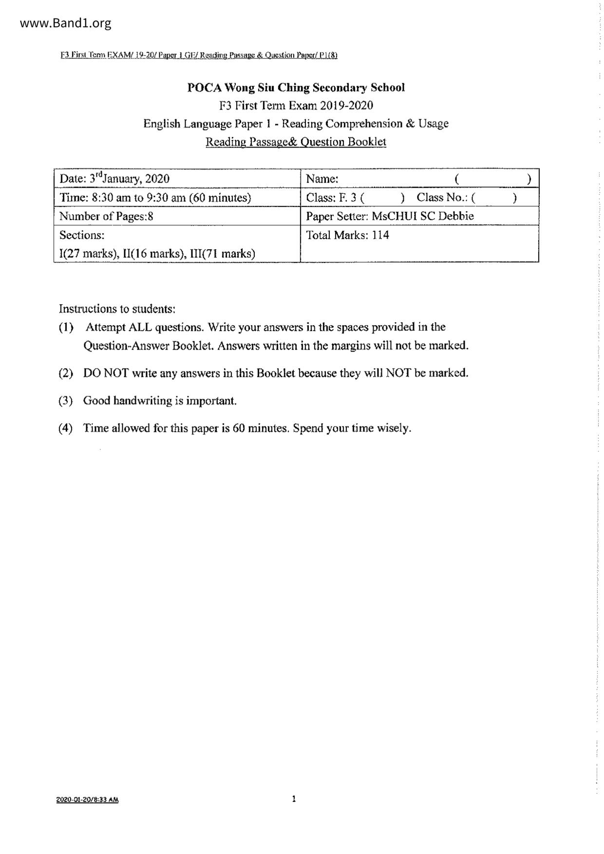
F3
F4
F5
F6
香港 中小學 英文 (HK English) 試卷 pdf
小一 英文 聖嘉勒小學
小二 英文 (P2 English)
小一 英文 (P1 English)
中一 英文 浸信會呂明才中學
中四 英文 民生書院
中一 英文 屯門天主教中學
小二 英文 (P2 English)
小四 英文 (P4 English)
中一 英文 屯門天主教中學
小三 英文 沙田循道衛理小學
中一 英文 聖士提反書院
小三 英文 (P3 English)
小四 英文 聖安當小學
小四 英文 陳瑞祺(喇沙)小學
小一 英文 聖公會聖約翰曾肇添小學
小四 英文 保良局何壽南小學
小二 英文 沙田循道衛理小學
小三 英文 沙田循道衛理小學
小五 英文 (P5 English)
小一 英文 (P1 English)
小一 英文 陳瑞祺(喇沙)小學
小五 英文 天主教聖華學校
小一 英文 培僑小學
小二 英文 (P2 English)
小三 英文 (P3 English)
中二 英文 中華基金中學
小二 英文 陳瑞祺(喇沙)小學
中一 英文 迦密主恩中學
小二 英文 大角嘴天主教小學
小三 英文 大埔浸信會公立學校
小三 英文 (P3 English)
小二 英文 馬頭涌官立小學
小二 英文 天主教聖華學校
小一 英文 (P1 English)
小四 英文 聖公會田灣始南小學
中六 英文 香港九龍塘基督教中華宣道會鄭榮之中學
小二 英文 天主教聖華學校
小五 英文 沙田崇真學校
小一 英文 (P1 English)
中一 英文 聖傑靈女子中學
小二 英文 天主教聖華學校
小六 英文 嘉諾撒小學
小三 英文 (P3 English)
小五 英文 (P5 English)
小二 英文 (P2 English)
小五 英文 景林天主教小學
小二 英文 沙田循道衛理小學
中二 英文 中華基金中學
小三 英文 沙田循道衛理小學
小四 英文 陳瑞祺(喇沙)小學
小五 英文 (P5 English)
小三 英文 保良局方王錦全小學
小二 英文 (P2 English)
中一 英文 佛教善德英文中學
小三 英文 青山天主教小學
中六 英文 文理書院(九龍)
小二 英文 (P2 English)
中二 英文 中華基金中學
小二 英文 (P2 English)
小三 英文 (P3 English)
小五 英文 (P5 English)
小二 英文 (P2 English)
小四 英文 聖保羅書院小學
小一 英文 (P1 English)
小二 英文 (P2 English)
小四 英文 (P4 English)
小六 英文 聖嘉勒小學
小一 英文 嘉諾撒聖瑪利學校
小四 英文 (P4 English)
小二 英文 (P2 English)
中一 英文 佛教善德英文中學
小一 英文 (P1 English)
小二 英文 (P2 English)
小二 英文 聖若瑟小學
小四 英文 (P4 English)
小三 英文 (P3 English)
小四 英文 (P4 English)
小四 英文 油蔴地天主教小學
小一 英文 (P1 English)
小二 英文 (P2 English)
小一 英文 李志達紀念學校
小一 英文 聖保祿天主教小學
中四 英文 英華書院
小二 英文 (P2 English)
小一 英文 聖公會主風小學
小四 英文 (P4 English)
小四 英文 聖公會九龍灣基樂小學
小四 英文 浸信會沙田圍呂明才小學
小一 英文 香港培正小學
小五 英文 聖保祿天主教小學
小三 英文 (P3 English)
小二 英文 僑港伍氏宗親會伍時暢紀念學校
小一 英文 (P1 English)
小四 英文 (P4 English)
小四 英文 (P4 English)
小二 英文 (P2 English)
中二 英文 迦密柏雨中學
小四 英文 (P4 English)
小三 英文 (P3 English)
中六 英文 香港神託會培基書院
小四 英文 油蔴地天主教小學(海泓道)
小一 英文 聖類斯中學(小學部)
小六 英文 (P6 English)
小二 英文 (P2 English)
小四 英文 (P4 English)
小四 英文 元朗公立中學校友會鄧英業小學
中六 英文 保良局第一張永慶中學
中六 英文 沙田蘇浙公學
中六 英文 沙田蘇浙公學
中六 英文 沙田蘇浙公學
中二 英文 迦密柏雨中學
小一 英文 瑪利諾修院學校(小學部)
小四 英文 浸信會沙田圍呂明才小學
小五 英文 荔枝角天主教小學
中一 英文 迦密中學
小一 英文 獻主會小學
中一 英文 基督教香港信義會心誠中學
小三 英文 香港浸會大學附屬學校王錦輝中小學
小六 英文 (P6 English)
中一 英文 (F1 English)
小四 英文 聖公會青衣主恩小學
小五 英文 (P5 English)
小六 英文 (P6 English)
小六 英文 (P6 English)
小六 英文 (P6 English)
中六 英文 英華女學校
中一 英文 (F1 English)
小四 英文 (P4 English)
小四 英文 (P4 English)
小四 英文 (P4 English)
中三 英文 培僑中學
小五 英文 塘尾道官立小學
小五 英文 (P5 English)
小五 英文 博愛醫院歷屆總理聯誼會鄭任安夫人學校
中一 英文 基督教中國佈道會聖道迦南書院
小五 英文 慈雲山天主教小學
小一 英文 (P1 English)
小五 英文 高主教書院
小六 英文 (P6 English)
小二 英文 (P2 English)
小三 英文 (P3 English)
中四 英文 香港四邑商工總會黃棣珊紀念中學
中二 英文 (F2 English)
小四 英文 聖安當小學
中二 英文 禮賢會彭學高紀念中學
小五 英文 塘尾道官立小學
小二 英文 (P2 English)
小一 英文 (P1 English)
小三 英文 (P3 English)
小五 英文 (P5 English)
小一 英文 (P1 English)
中一 英文 中華基督教會全完中學
小五 英文 (P5 English)
小三 英文 浸信宣道會呂明才小學
小一 英文 聖公會靈愛小學
小三 英文 (P3 English)
小一 英文 筲箕灣崇真學校
中一 英文 靈糧堂劉梅軒中學
小二 英文 (P2 English)
小二 英文 (P2 English)
小四 英文 (P4 English)
小二 英文 (P2 English)
小三 英文 (P3 English)
小一 英文 優才(楊殷有娣)書院
小五 英文 獅子會何德心小學
小三 英文 (P3 English)
中一 英文 天主教母佑會蕭明中學
中一 英文 救恩書院
小三 英文 保良局田家炳千禧小學
小三 英文 聖公會基顯小學
中一 英文 (F1 English)
小三 英文 聖公會聖多馬小學
小二 英文 (P2 English)
中六 英文 聖母玫瑰書院
小一 英文 (P1 English)
小四 英文 北角循道學校
小三 英文 聖公會李兆強小學
小一 英文 (P1 English)
小一 英文 (P1 English)
小五 英文 (P5 English)
小四 英文 (P4 English)
小二 英文 旅港開平商會學校
中六 英文 香港九龍塘基督教中華宣道會鄭榮之中學
小三 英文 道教青松小學
小一 英文 (P1 English)
小三 英文 天主教善導小學
中一 英文 英華書院
小二 英文 (P2 English)
中六 英文 風采中學(教育評議會主辦)
中一 英文 英皇書院
中六 英文 德望學校
小一 英文 聖若瑟小學
小一 英文 (P1 English)
中一 英文 妙法寺劉金龍中學
中六 英文 保良局甲子何玉清中學
小二 英文 (P2 English)
小一 英文 香港真光中學(小學部)
小二 英文 香港道教聯合會純陽小學
小一 英文 嘉諾撒聖瑪利學校
中二 英文 庇理羅士女子中學
小一 英文 (P1 English)
小二 英文 (P2 English)
小六 英文 (P6 English)
小三 英文 拔萃男書院附屬小學
小二 英文 (P2 English)
小一 英文 (P1 English)
小二 英文 (P2 English)
中六 英文 南亞路德會沐恩中學
小一 英文 聖羅撒學校
小一 英文 嘉諾撒聖瑪利學校
小四 英文 (P4 English)
中一 英文 迦密中學
中一 英文 新界鄉議局元朗區中學
小二 英文 循道學校
小一 英文 僑港伍氏宗親會伍時暢紀念學校
小一 英文 僑港伍氏宗親會伍時暢紀念學校
小一 英文 僑港伍氏宗親會伍時暢紀念學校
小一 英文 僑港伍氏宗親會伍時暢紀念學校
小一 英文 香港嘉諾撒學校
中四 英文 庇理羅士女子中學
中六 英文 華仁書院(九龍)
中六 英文 伊利沙伯中學
中六 英文 聖保祿中學
小四 英文 (P4 English)
小五 英文 拔萃男書院附屬小學
中六 英文 伊利沙伯中學
中六 英文 南亞路德會沐恩中學
中一 英文 (F1 English)
中一 英文 英皇書院
中六 英文 風采中學(教育評議會主辦)
中一 英文 皇仁書院
小一 英文 九龍塘學校(小學部)
小二 英文 聖公會奉基千禧小學
小二 英文 嘉諾撒小學
中二 英文 恩主教書院
中一 英文 (F1 English)
中三 英文 寶安商會王少清中學
中二 英文 聖母書院
中一 英文 聖士提反書院
小三 英文 (P3 English)
小二 英文 高主教書院小學部
小一 英文 (P1 English)
中二 英文 (F2 English)
中一 英文 聖母書院
中三 英文 聖言中學
小六 英文 (P6 English)
中五 英文 聖母書院
小三 英文 (P3 English)
小一 英文 (P1 English)
小三 英文 大角嘴天主教小學(海帆道)
中二 英文 聖言中學
小三 英文 北角官立小學
小三 英文 大角嘴天主教小學(海帆道)
中三 英文 聖言中學
中一 英文 基督教女青年會丘佐榮中學
小二 英文 旅港開平商會學校
中一 英文 觀塘官立中學
中六 英文 惠僑英文中學
中二 英文 聖言中學
中三 英文 聖言中學
中一 英文 (F1 English)
中五 英文 聖母書院
小五 英文 塘尾道官立小學
小三 英文 拔萃男書院附屬小學
小一 英文 (P1 English)
小二 英文 聖保羅男女中學附屬小學
中三 英文 張祝珊英文中學
小二 英文 (P2 English)
小一 英文 拔萃男書院附屬小學
小一 英文 (P1 English)
中三 英文 皇仁書院
小三 英文 (P3 English)
小四 英文 (P4 English)
小三 英文 (P3 English)
小一 英文 循道學校
小五 英文 民生書院小學
中二 英文 (F2 English)
中五 英文 聖母書院
小三 英文 (P3 English)
小三 英文 聖公會田灣始南小學
小四 英文 聖公會德田李兆強小學
小四 英文 (P4 English)
中六 英文 聖士提反書院
小二 英文 (P2 English)
小三 英文 (P3 English)
中三 英文 張祝珊英文中學
中一 英文 聖言中學
小二 英文 協恩中學附屬小學
小二 英文 英華小學
小一 英文 (P1 English)
小四 英文 (P4 English)
小一 英文 聖若瑟小學
中五 英文 聖母書院
小一 英文 (P1 English)
中二 英文 張祝珊英文中學
中二 英文 張祝珊英文中學
小四 英文 塘尾道官立小學
小一 英文 聖若瑟小學
中六 英文 聖士提反書院
小一 英文 拔萃男書院附屬小學
小一 英文 軒尼詩道官立小學
小二 英文 林村公立黃福鑾紀念學校
小一 英文 聖若瑟小學
小二 英文 聖嘉勒小學
小五 英文 (P5 English)
小一 英文 聖若瑟小學
中六 英文 惠僑英文中學
中五 英文 聖母書院
小三 英文 (P3 English)
中六 英文 協恩中學
小一 英文 聖保祿天主教小學
中一 英文 張祝珊英文中學
中六 英文 協恩中學
中三 英文 皇仁書院
中一 英文 張祝珊英文中學
中五 英文 皇仁書院
中五 英文 皇仁書院
小一 英文 (P1 English)
中二 英文 新界鄉議局大埔區中學
中一 英文 皇仁書院
中一 英文 沙田蘇浙公學
中一 英文 新界鄉議局元朗區中學
中五 英文 皇仁書院
中六 英文 荃灣聖芳濟中學
小三 英文 拔萃男書院附屬小學
小二 英文 (P2 English)
小二 英文 (P2 English)
小二 英文 (P2 English)
中六 英文 中華基督教會燕京書院
中六 英文 東華三院李嘉誠中學
小五 英文 拔萃男書院附屬小學
中一 英文 (F1 English)
小五 英文 (P5 English)
小四 英文 (P4 English)
小四 英文 (P4 English)
小三 英文 中華基督教會基真小學
中二 英文 聖言中學
中一 英文 聖芳濟書院
小一 英文 (P1 English)
中一 英文 (F1 English)
中一 英文 聖言中學
小四 英文 (P4 English)
中三 英文 寶安商會王少清中學
中四 英文 聖言中學
中二 英文 (F2 English)
中一 英文 寶安商會王少清中學
小二 英文 大角嘴天主教小學
中三 英文 協恩中學
中一 英文 香港九龍塘基督教中華宣道會鄭榮之中學
中三 英文 聖言中學
中六 英文 藍田聖保祿中學
中四 英文 聖言中學
中一 英文 (F1 English)
中六 英文 宣道會陳瑞芝紀念中學
中五 英文 聖言中學
小六 英文 (P6 English)
中一 英文 基督教香港信義會元朗信義中學
中五 英文 聖言中學
中三 英文 聖言中學
中三 英文 聖言中學
中四 英文 聖言中學
中六 英文 保良局甲子何玉清中學
中二 英文 聖言中學
中二 英文 張祝珊英文中學
中六 英文 南屯門官立中學
中三 英文 皇仁書院
中五 英文 聖言中學
中一 英文 聖保羅書院
中一 英文 恩主教書院
中一 英文 皇仁書院
中一 英文 張祝珊英文中學
中一 英文 英華女學校
中六 英文 聖言中學
小一 英文 九龍塘學校(小學部)
中四 英文 英皇書院
小一 英文 聖方濟各英文小學
中六 英文 聖言中學
中一 英文 救恩書院
中三 英文 張祝珊英文中學
中一 英文 聖言中學
中六 英文 保良局甲子何玉清中學
中三 英文 協恩中學
中五 英文 張祝珊英文中學
中六 英文 保良局甲子何玉清中學
小一 英文 粉嶺公立學校
中六 英文 英華書院
中六 英文 張祝珊英文中學
小三 英文 拔萃男書院附屬小學
中一 英文 香港真光書院
中一 英文 聖芳濟書院
中六 英文 保良局甲子何玉清中學
小一 英文 浸信會呂明才小學
中一 英文 迦密中學
中一 英文 沙田蘇浙公學
中一 英文 皇仁書院
中二 英文 張祝珊英文中學
中六 英文 聖若瑟書院
中三 英文 英皇書院
中四 英文 皇仁書院
中六 英文 保良局甲子何玉清中學
中三 英文 聖羅撒書院
中六 英文 聖言中學
中三 英文 福建中學
中六 英文 聖保祿中學
中六 英文 藍田聖保祿中學
中四 英文 皇仁書院
中四 英文 聖馬可中學
中六 英文 聖言中學
小四 英文 (P4 English)
中一 英文 迦密中學
中一 英文 新界鄉議局元朗區中學
中一 英文 張祝珊英文中學
中六 英文 保良局甲子何玉清中學
中六 英文 伊利沙伯中學
中三 英文 皇仁書院
中四 英文 聖馬可中學
中二 英文 皇仁書院
中六 英文 英華書院
中六 英文 聖若瑟書院
中一 英文 皇仁書院
中二 英文 聖公會莫壽增會督中學
中一 英文 沙田蘇浙公學
中二 英文 張祝珊英文中學
中六 英文 聖保祿中學
中六 英文 聖馬可中學
中六 英文 伊利沙伯中學
中六 英文 伊利沙伯中學
中六 英文 聖馬可中學
小一 英文 拔萃男書院附屬小學
中六 英文 保良局甲子何玉清中學
中一 英文 (F1 English)
中一 英文 聖公會莫壽增會督中學
中一 英文 聖公會莫壽增會督中學
中一 英文 皇仁書院
中二 英文 迦密柏雨中學
中一 英文 沙田蘇浙公學
中六 英文 伊利沙伯中學
中六 英文 聖若瑟書院
中六 英文 聖馬可中學
中六 英文 聖馬可中學
中六 英文 聖馬可中學
中六 英文 聖馬可中學
中六 英文 聖馬可中學
中一 英文 (F1 English)
中一 英文 (F1 English)
中一 英文 (F1 English)
小一 英文 (P1 English)
小六 英文 (P6 English)
小一 英文 九龍塘天主教華德學校
小五 英文 九龍塘官立小學
中一 英文 救恩書院
小二 英文 太古小學
小四 英文 (P4 English)
小五 英文 救世軍韋理夫人紀念學校
中三 英文 王肇枝中學
中一 英文 播道書院
小一 英文 (P1 English)
小一 英文 高主教書院小學部
小二 英文 聖公會仁立紀念小學
中四 英文 聖言中學
中四 英文 聖言中學
小四 英文 聖公會青衣主恩小學
小二 英文 (P2 English)
中一 英文 播道書院
中三 英文 聖言中學
小三 英文 中華基督教會何福堂小學
中六 英文 聖士提反書院
小二 英文 柴灣角天主教小學
中五 英文 聖言中學
中二 英文 禮賢會彭學高紀念中學
小一 英文 高主教書院小學部
小一 英文 高主教書院小學部
中二 英文 救恩書院
中二 英文 聖言中學
小一 英文 (P1 English)
中二 英文 聖言中學
小二 英文 (P2 English)
中三 英文 聖言中學
小五 英文 聖公會馬鞍山主風小學
中一 英文 聖母書院
小三 英文 滬江小學
中五 英文 聖言中學
小一 英文 (P1 English)
中四 英文 聖言中學
小二 英文 將軍澳官立小學
小一 英文 高主教書院小學部
小五 英文 救世軍韋理夫人紀念學校
小一 英文 (P1 English)
中二 英文 聖言中學
中四 英文 聖言中學
中二 英文 聖言中學
小二 英文 坪石天主教小學
中三 英文 聖言中學
小三 英文 聖士提反女子中學附屬小學
小六 英文 (P6 English)
中四 英文 聖言中學
小四 英文 聖公會何澤芸小學
中三 英文 聖言中學
小六 英文 (P6 English)
中一 英文 聖言中學
中二 英文 聖言中學
小一 英文 油蔴地天主教小學
中五 英文 聖言中學
中一 英文 聖士提反書院
中三 英文 聖言中學
中二 英文 聖言中學
小三 英文 (P3 English)
中一 英文 恩主教書院
中一 英文 聖言中學
中三 英文 聖言中學
中四 英文 聖言中學
中六 英文 聖士提反書院
小三 英文 油蔴地天主教小學
中二 英文 皇仁書院
小二 英文 (P2 English)
中一 英文 聖言中學
中六 英文 聖言中學
中四 英文 聖言中學
中四 英文 聖言中學
小三 英文 (P3 English)
小三 英文 香港嘉諾撒學校
中一 英文 聖士提反書院
小三 英文 大埔浸信會公立學校
中五 英文 聖言中學
中一 英文 聖言中學
中一 英文 聖言中學
中五 英文 聖言中學
中一 英文 恩主教書院
中六 英文 皇仁書院
中一 英文 聖言中學
小二 英文 順德聯誼總會何日東小學
中六 英文 聖言中學
中六 英文 聖士提反書院
中一 英文 聖言中學
中三 英文 皇仁書院
中五 英文 聖言中學
中五 英文 聖言中學
小一 英文 (P1 English)
中三 英文 皇仁書院
中二 英文 皇仁書院
中五 英文 聖言中學
中五 英文 聖言中學
中五 英文 聖言中學
小二 英文 順德聯誼總會何日東小學
中二 英文 皇仁書院
中一 英文 皇仁書院
中三 英文 順德聯誼總會梁銶琚中學
小三 英文 香港嘉諾撒學校
小三 英文 香港嘉諾撒學校
中一 英文 皇仁書院
中一 英文 皇仁書院
中一 英文 皇仁書院
中三 英文 南亞路德會沐恩中學
中一 英文 皇仁書院
小一 英文 聖公會基恩小學
中一 英文 聖公會莫壽增會督中學
中一 英文 張祝珊英文中學
中六 英文 播道書院
中三 英文 迦密柏雨中學
小四 英文 聖公會青衣主恩小學
小六 英文 聖安多尼學校
中四 英文 皇仁書院
小二 英文 大埔舊墟公立學校
小二 英文 (P2 English)
小三 英文 大埔崇德黃建常紀念學校
小五 英文 荃灣官立小學
小三 英文 荃灣官立小學
小四 英文 聖公會主風小學
小四 英文 保良局朱正賢小學
中一 英文 (F1 English)
小三 英文 聖公會油塘基顯小學
小五 英文 荃灣官立小學
小二 英文 聖母無玷聖心學校
小二 英文 天主教明德學校
中一 英文 聖言中學
小一 英文 荃灣官立小學
小二 英文 北角官立小學
小二 英文 天水圍官立小學
小四 英文 滬江小學
中三 英文 聖言中學
中六 英文 聖言中學
中四 英文 聖言中學
中四 英文 (F4 English)
小二 英文 香港嘉諾撒學校
中二 英文 禮賢會彭學高紀念中學
小三 英文 九龍禮賢學校
中三 英文 聖言中學
中一 英文 聖言中學
小三 英文 中華基督教會基華小學
小二 英文 長沙灣天主教小學
小二 英文 深井天主教小學
中三 英文 聖言中學
小二 英文 (P2 English)
小三 英文 (P3 English)
中三 英文 聖言中學
中三 英文 聖言中學
中二 英文 聖言中學
中二 英文 聖言中學
中二 英文 聖言中學
小一 英文 (P1 English)
中一 英文 恩主教書院
中四 英文 聖言中學
中五 英文 聖言中學
中二 英文 聖言中學
中四 英文 聖言中學
中二 英文 聖言中學
中四 英文 聖言中學
小四 英文 滬江小學
中二 英文 聖言中學
中五 英文 聖言中學
小五 英文 聖保羅書院小學
小三 英文 聖保祿學校
中三 英文 聖言中學
中五 英文 聖言中學
中四 英文 聖言中學
中五 英文 聖言中學
中一 英文 聖言中學
中四 英文 聖言中學
中六 英文 聖士提反書院
中六 英文 聖言中學
中五 英文 聖言中學
中一 英文 聖言中學
中五 英文 聖言中學
中一 英文 聖言中學
小二 英文 軒尼詩道官立小學
小二 英文 聖若瑟小學
中一 英文 沙田培英中學
中一 英文 聖言中學
中一 英文 聖言中學
小二 英文 聖保羅書院小學
中一 英文 恩主教書院
小一 英文 嘉諾撒聖瑪利學校
中一 英文 旅港開平商會中學
小三 英文 天主教明德學校
小四 英文 浸信會沙田圍呂明才小學
中二 英文 皇仁書院
小三 英文 聖公會油塘基顯小學
中六 英文 聖言中學
中六 英文 聖言中學
中二 英文 沙田蘇浙公學
中一 英文 迦密柏雨中學
小三 英文 聖羅撒學校
中四 英文 皇仁書院
中五 英文 聖言中學
小三 英文 天主教領島學校
中三 英文 皇仁書院
中六 英文 聖言中學
小一 英文 大埔舊墟公立學校(寶湖道)
中三 英文 皇仁書院
中六 英文 協恩中學
小四 英文 (P4 English)
中六 英文 皇仁書院
中六 英文 協恩中學
中六 英文 民生書院
中二 英文 皇仁書院
中一 英文 福建中學
中一 英文 皇仁書院
中一 英文 皇仁書院
中六 英文 伊利沙伯中學
中六 英文 協恩中學
中一 英文 皇仁書院
中二 英文 皇仁書院
中一 英文 聖公會莫壽增會督中學
中六 英文 伊利沙伯中學
中六 英文 民生書院
中六 英文 民生書院
中六 英文 民生書院
中六 英文 香港四邑商工總會黃棣珊紀念中學
小一 英文 聖公會將軍澳基德小學
小五 英文 聖安多尼學校
小五 英文 聖安多尼學校
小四 英文 聖安多尼學校
小四 英文 聖安多尼學校
小二 英文 培基小學
小一 英文 聖保羅書院
小一 英文 聖保羅書院小學
小二 英文 聖公會李兆強小學
小二 英文 陳瑞祺(喇沙)小學
小二 英文 聖公會置富始南小學
小一 英文 (P1 English)
小三 英文 (P3 English)
小三 英文 播道書院
小二 英文 九龍城浸信會禧年小學
小六 英文 聖公會聖匠小學
小一 英文 屯門官立小學
小一 英文 屯門官立小學
小三 英文 港澳信義會黃陳淑英紀念學校
中一 英文 沙田培英中學
小三 英文 太古小學
小四 英文 聖公會何澤芸小學
中一 英文 路德會呂祥光中學
小四 英文 漢華中學
小四 英文 保良局陳溢小學
小五 英文 (P5 English)
小二 英文 軒尼詩道官立小學
中一 英文 沙田培英中學
小一 英文 高主教書院小學部
中二 英文 聖保羅書院
小一 英文 高主教書院小學部
小三 英文 元朗官立小學
小一 英文 將軍澳天主教小學
中一 英文 沙田培英中學
小二 英文 中華基督教會灣仔堂基道小學
小四 英文 九龍禮賢學校
中三 英文 聖保羅書院
中二 英文 浸信會呂明才中學
中五 英文 聖言中學
中四 英文 皇仁書院
小二 英文 (P2 English)
小一 英文 英華小學
小四 英文 九龍禮賢學校
小二 英文 聖公會將軍澳基德小學
中一 英文 浸信會呂明才中學
中三 英文 浸信會呂明才中學
中一 英文 浸信會呂明才中學
中二 英文 聖保羅書院
中三 英文 聖保羅書院
中二 英文 浸信會呂明才中學
中四 英文 皇仁書院
中四 英文 皇仁書院
中六 英文 皇仁書院
中三 英文 聖保羅書院
中一 英文 浸信會呂明才中學
中三 英文 浸信會呂明才中學
中一 英文 浸信會呂明才中學
中三 英文 浸信會呂明才中學
中一 英文 浸信會呂明才中學
中六 英文 民生書院
中二 英文 新界鄉議局元朗區中學
中五 英文 浸信會呂明才中學
中五 英文 浸信會呂明才中學
中一 英文 浸信會呂明才中學
中一 英文 皇仁書院
中一 英文 皇仁書院
中一 英文 皇仁書院
中二 英文 浸信會呂明才中學
中三 英文 浸信會呂明才中學
中一 英文 皇仁書院
中五 英文 浸信會呂明才中學
中六 英文 民生書院
中六 英文 民生書院
中一 英文 皇仁書院
中一 英文 皇仁書院
中六 英文 伊利沙伯中學
小一 英文 聖保祿學校
小六 英文 聖安多尼學校
小六 英文 聖安多尼學校
小四 英文 聖安多尼學校
小四 英文 聖安多尼學校
小五 英文 聖安多尼學校
中三 英文 庇理羅士女子中學
中二 英文 庇理羅士女子中學
中四 英文 庇理羅士女子中學
中五 英文 庇理羅士女子中學
中四 英文 庇理羅士女子中學
中五 英文 庇理羅士女子中學
小四 英文 九龍塘天主教華德學校
小五 英文 港大同學會小學
中二 英文 聖芳濟書院
小二 英文 東華三院李賜豪小學
中一 英文 何明華會督銀禧中學
小六 英文 聖公會聖安德烈小學
小三 英文 漢華中學
小六 英文 獻主會小學
小三 英文 北角官立小學
小四 英文 (P4 English)
中一 英文 沙田循道衞理中學
中一 英文 陳瑞祺(喇沙)書院
小五 英文 保良局林文燦英文小學
小六 英文 聖公會何澤芸小學
小二 英文 天主教明德學校
小三 英文 (P3 English)
小六 英文 獻主會小學
小二 英文 天主教明德學校
小四 英文 郭怡雅神父紀念學校
中一 英文 沙田循道衞理中學
小三 英文 香港嘉諾撒學校
小四 英文 聖公會青衣邨何澤芸小學
中一 英文 (F1 English)
小六 英文 (P6 English)
中三 英文 香港培正中學
小三 英文 北角循道學校
小一 英文 軒尼詩道官立小學
中六 英文 香港四邑商工總會黃棣珊紀念中學
小六 英文 獻主會小學
小六 英文 獻主會小學
小五 英文 軒尼詩道官立小學(銅鑼灣)
小一 英文 油蔴地天主教小學
中一 英文 聖言中學
中一 英文 沙田循道衞理中學
中三 英文 浸信會呂明才中學
小二 英文 聖保羅書院
小二 英文 香港嘉諾撒學校
中二 英文 中華基督教會蒙民偉書院
中二 英文 庇理羅士女子中學
中六 英文 香港四邑商工總會黃棣珊紀念中學
小六 英文 獻主會小學
小二 英文 聖保羅書院小學
中三 英文 庇理羅士女子中學
中三 英文 庇理羅士女子中學
小二 英文 (P2 English)
中三 英文 浸信會呂明才中學
中一 英文 浸信會呂明才中學
中一 英文 庇理羅士女子中學
中二 英文 庇理羅士女子中學
中三 英文 庇理羅士女子中學
中三 英文 浸信會呂明才中學
小一 英文 屯門官立小學
中五 英文 庇理羅士女子中學
中二 英文 新界鄉議局元朗區中學
中一 英文 浸信會呂明才中學
中一 英文 庇理羅士女子中學
中一 英文 浸信會呂明才中學
中一 英文 浸信會呂明才中學
中三 英文 浸信會呂明才中學
中三 英文 庇理羅士女子中學
中二 英文 浸信會呂明才中學
中二 英文 庇理羅士女子中學
中三 英文 浸信會呂明才中學
中三 英文 浸信會呂明才中學
中一 英文 迦密中學
中五 英文 庇理羅士女子中學
中五 英文 庇理羅士女子中學
中三 英文 庇理羅士女子中學
中五 英文 浸信會呂明才中學
中一 英文 庇理羅士女子中學
中二 英文 浸信會呂明才中學
中三 英文 庇理羅士女子中學
中一 英文 庇理羅士女子中學
中一 英文 浸信會呂明才中學
中五 英文 浸信會呂明才中學
中五 英文 浸信會呂明才中學
中五 英文 浸信會呂明才中學
中五 英文 庇理羅士女子中學
中五 英文 浸信會呂明才中學
中五 英文 庇理羅士女子中學
中五 英文 庇理羅士女子中學
中一 英文 浸信會呂明才中學
中二 英文 浸信會呂明才中學
中二 英文 庇理羅士女子中學
中六 英文 皇仁書院
中六 英文 香港四邑商工總會黃棣珊紀念中學
中六 英文 香港四邑商工總會黃棣珊紀念中學
中六 英文 香港四邑商工總會黃棣珊紀念中學
小六 英文 聖安多尼學校
小六 英文 聖安多尼學校
小五 英文 聖安多尼學校
小四 英文 聖安多尼學校
小四 英文 聖安多尼學校
小一 英文 慈幼學校
小五 英文 香港培道小學
小四 英文 筲箕灣官立小學
小二 英文 大角嘴天主教小學
小一 英文 博愛醫院陳國威小學
小六 英文 (P6 English)
小四 英文 聖公會嘉福榮真小學
中二 英文 聖言中學
小六 英文 (P6 English)
中一 英文 聖言中學
中三 英文 聖言中學
小三 英文 (P3 English)
中二 英文 聖言中學
中三 英文 聖言中學
中三 英文 聖言中學
小三 英文 基督教聖約教會堅樂小學
中四 英文 聖言中學
小三 英文 香港中國婦女會丘佐榮學校
小四 英文 (P4 English)
小六 英文 聖公會何澤芸小學
中二 英文 聖言中學
中三 英文 聖言中學
中一 英文 聖言中學
中一 英文 沙田培英中學
小六 英文 (P6 English)
中四 英文 聖言中學
中五 英文 聖言中學
中六 英文 聖言中學
中一 英文 聖言中學
中四 英文 聖言中學
中四 英文 聖言中學
小六 英文 聖公會何澤芸小學
中四 英文 聖言中學
中四 英文 聖言中學
中一 英文 聖言中學
中三 英文 聖言中學
中六 英文 聖母玫瑰書院
中二 英文 聖言中學
中三 英文 聖言中學
中三 英文 聖言中學
中二 英文 聖言中學
中二 英文 聖言中學
小三 英文 (P3 English)
中五 英文 聖言中學
中一 英文 聖言中學
中五 英文 聖言中學
中一 英文 沙田循道衞理中學
中五 英文 聖言中學
中四 英文 聖言中學
中五 英文 聖言中學
中四 英文 聖言中學
中五 英文 聖言中學
中一 英文 聖言中學
中一 英文 沙田培英中學
中一 英文 聖言中學
中六 英文 聖言中學
中一 英文 庇理羅士女子中學
小四 英文 (P4 English)
中一 英文 聖言中學
中六 英文 聖言中學
中五 英文 聖言中學
中一 英文 庇理羅士女子中學
中五 英文 聖言中學
中五 英文 聖言中學
中五 英文 聖言中學
中五 英文 庇理羅士女子中學
中五 英文 聖言中學
中二 英文 庇理羅士女子中學
中一 英文 皇仁書院
中二 英文 庇理羅士女子中學
中一 英文 皇仁書院
中五 英文 浸信會呂明才中學
中五 英文 庇理羅士女子中學
中五 英文 庇理羅士女子中學
中一 英文 聖言中學
小二 英文 聖若瑟小學
小六 英文 (P6 English)
小五 英文 (P5 English)
小五 英文 聖安多尼學校
小六 英文 聖安多尼學校
小四 英文 聖安多尼學校
小五 英文 聖安多尼學校
小四 英文 (P4 English)
小四 英文 播道書院
小四 英文 (P4 English)
小四 英文 (P4 English)
小四 英文 (P4 English)
小四 英文 聖安多尼學校
小四 英文 (P4 English)
小五 英文 (P5 English)
中一 英文 福建中學
小四 英文 聖公會青衣主恩小學
中三 英文 聖言中學
中二 英文 培僑中學
小三 英文 香港中國婦女會丘佐榮學校
中二 英文 聖言中學
小六 英文 聖公會何澤芸小學
中三 英文 聖言中學
小一 英文 大角嘴天主教小學(海帆道)
小五 英文 (P5 English)
中一 英文 福建中學
中一 英文 聖言中學
中二 英文 聖言中學
小二 英文 北角循道學校
小五 英文 (P5 English)
中三 英文 聖言中學
小四 英文 (P4 English)
中三 英文 聖言中學
中一 英文 聖言中學
小六 英文 (P6 English)
中一 英文 聖言中學
中四 英文 聖言中學
中二 英文 聖言中學
小二 英文 香港嘉諾撒學校
中三 英文 聖言中學
小六 英文 聖公會主風小學
中四 英文 聖言中學
中四 英文 聖言中學
中四 英文 聖言中學
中一 英文 聖羅撒書院
中四 英文 聖言中學
小四 英文 胡素貞博士紀念學校
小六 英文 (P6 English)
中三 英文 聖言中學
小四 英文 基督教粉嶺神召會小學
中五 英文 聖言中學
中二 英文 聖言中學
中四 英文 聖言中學
中一 英文 聖言中學
小四 英文 天主教聖安德肋小學
中三 英文 聖言中學
中五 英文 聖言中學
中六 英文 聖言中學
中五 英文 聖言中學
小六 英文 (P6 English)
中六 英文 聖言中學
中四 英文 聖言中學
小四 英文 基督教粉嶺神召會小學
小一 英文 中華基督教會基真小學
小二 英文 (P2 English)
中一 英文 聖言中學
中三 英文 順德聯誼總會梁銶琚中學
中一 英文 聖言中學
中一 英文 聖言中學
中五 英文 聖言中學
中五 英文 聖言中學
小一 英文 中華基督教會基真小學
中一 英文 聖羅撒書院
中二 英文 浸信會呂明才中學
中二 英文 浸信會呂明才中學
中三 英文 浸信會呂明才中學
中五 英文 聖言中學
小四 英文 (P4 English)
中一 英文 浸信會呂明才中學
中二 英文 浸信會呂明才中學
中五 英文 聖言中學
中一 英文 浸信會呂明才中學
中一 英文 浸信會呂明才中學
中一 英文 浸信會呂明才中學
中二 英文 浸信會呂明才中學
中二 英文 浸信會呂明才中學
中五 英文 浸信會呂明才中學
中五 英文 浸信會呂明才中學
小一 英文 天主教聖母聖心小學
中五 英文 浸信會呂明才中學
中二 英文 浸信會呂明才中學
小六 英文 香海正覺蓮社佛教正覺蓮社學校
小五 英文 聖安多尼學校
小六 英文 聖安多尼學校
小五 英文 聖安多尼學校
小四 英文 聖安多尼學校
小四 英文 播道書院
小四 英文 (P4 English)
小四 英文 (P4 English)
小四 英文 (P4 English)
小四 英文 聖安多尼學校
小四 英文 播道書院
小四 英文 (P4 English)
小六 英文 聖公會何澤芸小學
中三 英文 陳瑞祺(喇沙)書院
小五 英文 (P5 English)
小六 英文 聖公會何澤芸小學
小五 英文 聖公會青衣主恩小學
小四 英文 保良局陳溢小學
中一 英文 福建中學
小六 英文 聖公會何澤芸小學
中一 英文 福建中學
小五 英文 (P5 English)
小六 英文 聖公會何澤芸小學
小五 英文 (P5 English)
小五 英文 聖安當小學
小一 英文 (P1 English)
小四 英文 聖公會何澤芸小學
小五 英文 (P5 English)
小五 英文 (P5 English)
小一 英文 香港華人基督教聯會真道書院
小四 英文 協恩中學附屬小學
小六 英文 保良局林文燦英文小學
小六 英文 聖公會何澤芸小學
小五 英文 (P5 English)
小五 英文 播道書院
中一 英文 福建中學
小三 英文 太古小學
小一 英文 聖公會仁立小學
小一 英文 中華基督教會基真小學
中一 英文 (F1 English)
小一 英文 (P1 English)
小五 英文 播道書院
小四 英文 (P4 English)
小一 英文 聖公會仁立小學
小五 英文 (P5 English)
中一 英文 聖若瑟書院
小六 英文 (P6 English)
中三 英文 浸信會呂明才中學
小四 英文 (P4 English)
中一 英文 浸信會呂明才中學
中三 英文 浸信會呂明才中學
中二 英文 浸信會呂明才中學
中二 英文 順德聯誼總會梁銶琚中學
中三 英文 浸信會呂明才中學
中三 英文 浸信會呂明才中學
中一 英文 浸信會呂明才中學
中一 英文 浸信會呂明才中學
小四 英文 (P4 English)
小三 英文 太古小學
中二 英文 浸信會呂明才中學
中一 英文 浸信會呂明才中學
中二 英文 浸信會呂明才中學
中五 英文 浸信會呂明才中學
中五 英文 浸信會呂明才中學
中五 英文 浸信會呂明才中學
中一 英文 浸信會呂明才中學
中二 英文 浸信會呂明才中學
小五 英文 (P5 English)
小六 英文 聖安多尼學校
小五 英文 聖安多尼學校
小四 英文 (P4 English)
小四 英文 聖安多尼學校
小四 英文 (P4 English)
小五 英文 聖安多尼學校
小三 英文 太古小學
小四 英文 聖公會青衣主恩小學
小六 英文 (P6 English)
小二 英文 太古小學
小五 英文 (P5 English)
中一 英文 順德聯誼總會梁銶琚中學
小四 英文 保良局陳溢小學
小六 英文 聖安多尼學校
小五 英文 聖安多尼學校
小四 英文 聖安多尼學校
小一 英文 瑪利諾修院學校(小學部)
中二 英文 (F2 English)
小六 英文 聖公會李兆強小學
小三 英文 聖公會何澤芸小學
小六 英文 保良局陸慶濤小學
小六 英文 聖公會何澤芸小學
小六 英文 聖公會何澤芸小學
小四 英文 聖公會何澤芸小學
小四 英文 聖公會仁立小學
中一 英文 順德聯誼總會梁銶琚中學
中二 英文 順德聯誼總會梁銶琚中學
中一 英文 聖若瑟書院
小四 英文 保良局陳溢小學
小四 英文 聖公會青衣主恩小學
小四 英文 聖公會青衣主恩小學
小四 英文 聖公會仁立小學
小五 英文 聖安多尼學校
小四 英文 聖安多尼學校
小四 英文 聖安多尼學校
小四 英文 聖安多尼學校
小六 英文 聖安多尼學校
小六 英文 聖安多尼學校
中三 英文 陳瑞祺(喇沙)書院
小四 英文 (P4 English)
小一 英文 保良局陸慶濤小學
小一 英文 (P1 English)
小一 英文 (P1 English)
小二 英文 (P2 English)
小二 英文 (P2 English)
中二 英文 拔萃男書院
小六 英文 (P6 English)
小六 英文 天主教聖安德肋小學
小五 英文 九龍塘官立小學
小六 英文 (P6 English)
小三 英文 合一堂學校
中六 英文 聖母玫瑰書院
小五 英文 (P5 English)
小三 英文 (P3 English)
小六 英文 (P6 English)
小二 英文 (P2 English)
小二 英文 拔萃女小學
小五 英文 (P5 English)
小五 英文 (P5 English)
小一 英文 (P1 English)
小六 英文 (P6 English)
小六 英文 (P6 English)
中六 英文 藍田聖保祿中學
小四 英文 聖公會置富始南小學
小一 英文 拔萃女小學
中六 英文 聖保祿中學
小二 英文 (P2 English)
小二 英文 (P2 English)
小二 英文 (P2 English)
小二 英文 (P2 English)
小五 英文 (P5 English)
小二 英文 (P2 English)
小三 英文 中華基督教會基慈小學
小六 英文 (P6 English)
中六 英文 南屯門官立中學
小三 英文 (P3 English)
小一 英文 (P1 English)
小四 英文 (P4 English)
小四 英文 (P4 English)
小一 英文 拔萃女小學
小二 英文 (P2 English)
小三 英文 (P3 English)
小一 英文 (P1 English)
小六 英文 (P6 English)
小一 英文 (P1 English)
小四 英文 (P4 English)
中六 英文 聖保祿中學
中六 英文 聖保祿中學
小四 英文 (P4 English)
小三 英文 石湖墟公立學校
小一 英文 (P1 English)
小二 英文 (P2 English)
小四 英文 (P4 English)
小六 英文 拔萃男書院附屬小學
小三 英文 聖公會基福小學
中二 英文 (F2 English)
中六 英文 瑪利諾修院學校(中學部)
小三 英文 (P3 English)
小四 英文 (P4 English)
中一 英文 (F1 English)
小三 英文 (P3 English)
小六 英文 (P6 English)
小三 英文 (P3 English)
小五 英文 (P5 English)
小一 英文 (P1 English)
小一 英文 (P1 English)
小三 英文 (P3 English)
中六 英文 (F6 English)
小一 英文 瑪利諾修院學校(小學部)
小一 英文 瑪利諾修院學校(小學部)
小三 英文 (P3 English)
小一 英文 玫瑰崗學校
小四 英文 (P4 English)
中一 英文 藍田聖保祿中學
小三 英文 聖公會呂明才紀念小學
中三 英文 王肇枝中學
小五 英文 (P5 English)
小五 英文 (P5 English)
中一 英文 (F1 English)
中二 英文 何文田官立中學
中一 英文 (F1 English)
小六 英文 (P6 English)
小六 英文 保良局陸慶濤小學
小六 英文 (P6 English)
小二 英文 (P2 English)
小一 英文 聖公會仁立紀念小學
中四 英文 可立中學(嗇色園主辦)
小六 英文 保良局黃永樹小學
小六 英文 天主教聖安德肋小學
小五 英文 (P5 English)
中二 英文 何文田官立中學
小二 英文 聖公會仁立紀念小學
中二 英文 迦密聖道中學
小六 英文 (P6 English)
小五 英文 (P5 English)
小三 英文 聖公會青衣主恩小學
小五 英文 (P5 English)
小四 英文 (P4 English)
小六 英文 (P6 English)
小五 英文 (P5 English)
中三 英文 (F3 English)
小六 英文 (P6 English)
中三 英文 港九街坊婦女會孫方中書院
小四 英文 (P4 English)
小五 英文 (P5 English)
中四 英文 (F4 English)
小六 英文 (P6 English)
中二 英文 香港神託會培基書院
小五 英文 將軍澳天主教小學
小二 英文 (P2 English)
小四 英文 聖公會何澤芸小學
小四 英文 (P4 English)
小五 英文 (P5 English)
中一 英文 王肇枝中學
小四 英文 (P4 English)
小四 英文 (P4 English)
小六 英文 (P6 English)
小五 英文 (P5 English)
中三 英文 (F3 English)
小六 英文 (P6 English)
小五 英文 (P5 English)
中一 英文 東華三院黃笏南中學
小四 英文 (P4 English)
小六 英文 (P6 English)
中一 英文 (F1 English)
小六 英文 (P6 English)
小五 英文 (P5 English)
中二 英文 佛教黃鳳翎中學
小四 英文 聖母無玷聖心學校
小四 英文 播道書院
中三 英文 (F3 English)
中二 英文 (F2 English)
中二 英文 王肇枝中學
中三 英文 中華基金中學
中三 英文 (F3 English)
小六 英文 (P6 English)
小五 英文 港澳信義會小學
中二 英文 (F2 English)
中一 英文 聖羅撒書院
小二 英文 聖公會仁立紀念小學
小六 英文 (P6 English)
小四 英文 (P4 English)
小五 英文 (P5 English)
小六 英文 (P6 English)
小五 英文 (P5 English)
小六 英文 (P6 English)
小五 英文 (P5 English)
小四 英文 (P4 English)
小四 英文 (P4 English)
小五 英文 (P5 English)
小六 英文 (P6 English)
小四 英文 (P4 English)
中二 英文 基督教香港信義會元朗信義中學
中三 英文 石籬天主教中學
小四 英文 聖公會油塘基顯小學
小四 英文 (P4 English)
小四 英文 救恩學校
小五 英文 (P5 English)
小六 英文 (P6 English)
小三 英文 保良局何壽南小學
小六 英文 (P6 English)
小四 英文 (P4 English)
中二 英文 福建中學
中一 英文 長沙灣天主教英文中學
小四 英文 (P4 English)
小五 英文 (P5 English)
小五 英文 彩雲聖若瑟小學
小五 英文 聖公會李兆強小學
小六 英文 保良局黃永樹小學
小五 英文 (P5 English)
中一 英文 (F1 English)
中一 英文 聖羅撒書院
小四 英文 嘉諾撒聖家學校
小六 英文 五旬節于良發小學
小四 英文 (P4 English)
小六 英文 觀塘官立小學
小五 英文 (P5 English)
小一 英文 (P1 English)
中三 英文 王肇枝中學
小六 英文 (P6 English)
小五 英文 觀塘官立小學〈秀明道〉
中二 英文 播道書院
中二 英文 聖公會莫壽增會督中學
中一 英文 (F1 English)
中二 英文 恩主教書院
小六 英文 (P6 English)
小四 英文 (P4 English)
小五 英文 保良局陸慶濤小學
小六 英文 聖公會基恩小學
中三 英文 聖文德書院
小四 英文 (P4 English)
小六 英文 港大同學會小學
小二 英文 中華基督教會協和小學(長沙灣)
小六 英文 (P6 English)
小二 英文 (P2 English)
小四 英文 高主教書院小學部
小六 英文 (P6 English)
中二 英文 (F2 English)
小一 英文 (P1 English)
中二 英文 可立中學(嗇色園主辦)
小六 英文 (P6 English)
小四 英文 (P4 English)
小四 英文 福建中學附屬學校
中二 英文 (F2 English)
小五 英文 保良局蕭漢森小學
中一 英文 仁愛堂田家炳中學
小六 英文 (P6 English)
小一 英文 聖保祿學校(小學部)
小五 英文 (P5 English)
小五 英文 (P5 English)
小六 英文 (P6 English)
小六 英文 保良局黃永樹小學
小五 英文 (P5 English)
小六 英文 (P6 English)
小四 英文 北角衞理小學
小二 英文 (P2 English)
中二 英文 佛教黃鳳翎中學
小一 英文 (P1 English)
中二 英文 (F2 English)
小三 英文 聖公會聖雅各小學
小四 英文 民生書院
小四 英文 (P4 English)
小五 英文 (P5 English)
小五 英文 (P5 English)
小六 英文 (P6 English)
中一 英文 福建中學
小四 英文 (P4 English)
中二 英文 (F2 English)
小五 英文 (P5 English)
小六 英文 順德聯誼總會李金小學
小六 英文 路德會梁鉅鏐小學
中二 英文 (F2 English)
小三 英文 聖公會仁立紀念小學
小六 英文 (P6 English)
小四 英文 (P4 English)
中二 英文 佛教葉紀南紀念中學
小四 英文 (P4 English)
小五 英文 (P5 English)
小六 英文 黃埔宣道小學
小五 英文 (P5 English)
小四 英文 (P4 English)
小六 英文 (P6 English)
小六 英文 (P6 English)
小六 英文 (P6 English)
小六 英文 (P6 English)
小二 英文 高主教書院小學部
小四 英文 陳瑞祺(喇沙)小學
小四 英文 (P4 English)
小四 英文 (P4 English)
小五 英文 香海正覺蓮社佛教正慧小學
小六 英文 (P6 English)
小五 英文 (P5 English)
中一 英文 英華書院
中一 英文 (F1 English)
小四 英文 (P4 English)
小五 英文 (P5 English)
小一 英文 保良局陸慶濤小學
小四 英文 (P4 English)
小一 英文 香港嘉諾撒學校
小二 英文 保良局黃永樹小學
中一 英文 (F1 English)
小二 英文 (P2 English)
中三 英文 (F3 English)
小六 英文 保良局黃永樹小學
小六 英文 (P6 English)
小六 英文 (P6 English)
小五 英文 軒尼詩道官立小學
小一 英文 仁愛堂田家炳小學
小二 英文 (P2 English)
小四 英文 (P4 English)
小四 英文 (P4 English)
小五 英文 (P5 English)
小四 英文 (P4 English)
小五 英文 (P5 English)
小四 英文 聖公會仁立紀念小學
小六 英文 (P6 English)
小六 英文 (P6 English)
小一 英文 播道書院
中二 英文 衞理中學
小四 英文 (P4 English)
中一 英文 田家炳中學
小六 英文 (P6 English)
中一 英文 (F1 English)
小一 英文 (P1 English)
小五 英文 播道書院
小二 英文 聖公會奉基千禧小學
小四 英文 (P4 English)
小四 英文 啓思小學
小五 英文 (P5 English)
小二 英文 聖安多尼學校
中一 英文 仁愛堂田家炳中學
小四 英文 (P4 English)
小五 英文 天主教聖安德肋小學
小六 英文 柴灣角天主教小學
小四 英文 (P4 English)
小六 英文 荃灣官立小學
小一 英文 大埔舊墟公立學校
小五 英文 青山天主教小學
小三 英文 (P3 English)
小四 英文 觀塘官立小學
中一 英文 (F1 English)
中一 英文 (F1 English)
小五 英文 (P5 English)
中二 英文 佛教葉紀南紀念中學
小四 英文 嘉諾撒聖家學校(九龍塘)
小一 英文 東華三院王余家潔紀念小學
小五 英文 合一堂學校
小四 英文 保良局林文燦英文小學
中二 英文 基督教香港信義會元朗信義中學
小一 英文 (P1 English)
中一 英文 香港神託會培基書院
小三 英文 大角嘴天主教小學(海帆道)
小五 英文 保良局林文燦英文小學
小五 英文 嘉諾撒聖家學校
小五 英文 (P5 English)
小四 英文 路德會梁鉅鏐小學
小四 英文 (P4 English)
小一 英文 聖公會青衣主恩小學
中一 英文 (F1 English)
小三 英文 (P3 English)
小三 英文 保良局田家炳小學
小四 英文 (P4 English)
中一 英文 嘉諾撒聖家書院
小三 英文 聖保祿學校(小學部)
小一 英文 將軍澳官立小學
小一 英文 藍田循道衛理小學
中一 英文 聖羅撒書院
小二 英文 (P2 English)
小五 英文 柴灣角天主教小學
小一 英文 中華基督教會協和小學(長沙灣)
小四 英文 將軍澳循道衛理小學
小四 英文 (P4 English)
中二 英文 禮賢會彭學高紀念中學
中六 英文 中華基督教會燕京書院
小四 英文 合一堂學校
中一 英文 香港道教聯合會圓玄學院第二中學
小一 英文 (P1 English)
小五 英文 (P5 English)
小六 英文 (P6 English)
小五 英文 (P5 English)
小三 英文 聖公會奉基小學
小五 英文 保良局蕭漢森小學
小五 英文 (P5 English)
小三 英文 旅港開平商會學校
小五 英文 英華小學
中一 英文 九龍真光中學
小四 英文 香港教育大學賽馬會小學
小六 英文 天主教石鐘山紀念小學
中一 英文 播道書院
小四 英文 播道書院
小四 英文 (P4 English)
小六 英文 聖公會仁立紀念小學
小一 英文 (P1 English)
小三 英文 聖公會聖雅各小學
小三 英文 滬江小學
中三 英文 聖公會曾肇添中學
小六 英文 慈幼葉漢小學
小五 英文 (P5 English)
中二 英文 五育中學
小二 英文 大角嘴天主教小學
小一 英文 聖若瑟英文小學
小五 英文 (P5 English)
小三 英文 觀塘官立小學
小二 英文 軒尼詩道官立小學
小五 英文 (P5 English)
中二 英文 聖言中學
小六 英文 北角循道學校
小一 英文 港澳信義會小學
小二 英文 高主教書院小學部
小六 英文 (P6 English)
小六 英文 (P6 English)
小四 英文 (P4 English)
小四 英文 (P4 English)
小二 英文 拔萃男書院附屬小學
中一 英文 迦密聖道中學
小三 英文 將軍澳循道衛理小學
小六 英文 保良局陸慶濤小學
小六 英文 (P6 English)
小六 英文 聖公會何澤芸小學
小六 英文 (P6 English)
小二 英文 (P2 English)
小四 英文 福建中學附屬學校
小六 英文 中華基督教會基慧小學
小一 英文 荔枝角天主教小學
小一 英文 般咸道官立小學
小五 英文 聖公會榮真小學
中一 英文 仁愛堂田家炳中學
小五 英文 (P5 English)
小三 英文 (P3 English)
中一 英文 播道書院
小二 英文 大角嘴天主教小學
小一 英文 大角嘴天主教小學
中一 英文 中華基督教會基朗中學
小四 英文 保良局陳溢小學
小四 英文 (P4 English)
小二 英文 中華基督教會基法小學
小三 英文 (P3 English)
小五 英文 旅港開平商會學校
小六 英文 聖公會聖紀文小學
小六 英文 (P6 English)
小五 英文 (P5 English)
小四 英文 路德會梁鉅鏐小學
小六 英文 中華基督教會基慧小學
小六 英文 聖公會阮鄭夢芹小學
小一 英文 (P1 English)
中一 英文 孔教學院大成何郭佩珍中學
中二 英文 聖言中學
小五 英文 旅港開平商會學校
小六 英文 (P6 English)
小六 英文 石籬天主教小學
小六 英文 荔枝角天主教小學
小三 英文 藍田循道衛理小學
小一 英文 嘉諾撒聖家學校(九龍塘)
小五 英文 基督教香港信義會葵盛信義學校
小三 英文 漢華中學
中二 英文 五育中學
中一 英文 (F1 English)
小五 英文 將軍澳天主教小學
小一 英文 (P1 English)
小二 英文 筲箕灣崇真學校
小五 英文 (P5 English)
小三 英文 港澳信義會小學
小三 英文 旅港開平商會學校
小五 英文 油蔴地天主教小學(海泓道)
小六 英文 香海正覺蓮社佛教正慧小學
小四 英文 (P4 English)
小二 英文 大角嘴天主教小學
小四 英文 保良局林文燦英文小學
小四 英文 (P4 English)
小五 英文 (P5 English)
小六 英文 (P6 English)
小六 英文 (P6 English)
小二 英文 (P2 English)
中二 英文 五育中學
小二 英文 (P2 English)
小三 英文 聖若瑟小學
小四 英文 (P4 English)
小四 英文 (P4 English)
小六 英文 (P6 English)
小四 英文 旅港開平商會學校
小三 英文 將軍澳循道衛理小學
小一 英文 滬江小學
小三 英文 玫瑰崗學校
小五 英文 保良局黃永樹小學
小五 英文 大埔官立小學
小二 英文 香港浸信會聯會小學
中三 英文 協恩中學
中六 英文 東華三院黃笏南中學
中一 英文 (F1 English)
小四 英文 播道書院
小四 英文 (P4 English)
小五 英文 (P5 English)
小四 英文 高主教書院小學部
小五 英文 觀塘官立小學
小二 英文 聖公會奉基小學
小四 英文 觀塘官立小學
中一 英文 禮賢會彭學高紀念中學
小五 英文 大埔崇德黃建常紀念學校
中一 英文 播道書院
小六 英文 (P6 English)
小三 英文 馬頭涌官立小學
小六 英文 胡素貞博士紀念學校
小一 英文 中華基督教會基法小學
小一 英文 聖公會奉基小學
小三 英文 順德聯誼總會梁潔華小學
中二 英文 五育中學
小五 英文 (P5 English)
小六 英文 路德會聖馬太學校(秀茂坪)
中一 英文 播道書院
小二 英文 香港南區官立小學
小三 英文 播道書院
小六 英文 (P6 English)
小二 英文 (P2 English)
中六 英文 東華三院李嘉誠中學
小三 英文 (P3 English)
小六 英文 聖公會青衣邨何澤芸小學
小二 英文 聖公會聖彼得小學
小五 英文 (P5 English)
小六 英文 (P6 English)
小六 英文 (P6 English)
小五 英文 聖伯多祿天主教小學
中一 英文 聖若瑟書院
中一 英文 播道書院
小四 英文 觀塘官立小學
小二 英文 中華基督教會基法小學
小一 英文 筲箕灣崇真學校
小六 英文 (P6 English)
小四 英文 (P4 English)
小五 英文 (P5 English)
小六 英文 (P6 English)
小二 英文 中華基督教會基真小學
小一 英文 培僑小學
小三 英文 玫瑰崗學校
小三 英文 仁愛堂田家炳小學
小三 英文 旅港開平商會學校
小二 英文 (P2 English)
小五 英文 (P5 English)
小三 英文 基督教宣道會宣基小學
小五 英文 九龍禮賢學校
小四 英文 (P4 English)
小五 英文 (P5 English)
小五 英文 (P5 English)
小六 英文 (P6 English)
小六 英文 (P6 English)
中二 英文 民生書院
中五 英文 皇仁書院
小二 英文 聖公會柴灣聖米迦勒小學
小五 英文 合一堂學校
小二 英文 (P2 English)
小四 英文 旅港開平商會學校
小四 英文 順德聯誼總會李金小學
小四 英文 救世軍田家炳學校
中一 英文 播道書院
小四 英文 九龍塘學校(小學部)
小二 英文 聖保祿學校(小學部)
小四 英文 合一堂學校
小二 英文 (P2 English)
小一 英文 將軍澳天主教小學
小五 英文 (P5 English)
小六 英文 聖公會主風小學
小三 英文 將軍澳循道衛理小學
小四 英文 (P4 English)
小三 英文 港澳信義會小學
小五 英文 順德聯誼總會李金小學
小五 英文 大埔崇德黃建常紀念學校
小六 英文 (P6 English)
小六 英文 (P6 English)
小五 英文 (P5 English)
小四 英文 (P4 English)
小四 英文 (P4 English)
小五 英文 (P5 English)
小四 英文 (P4 English)
小四 英文 (P4 English)
小五 英文 (P5 English)
小二 英文 聖公會德田李兆強小學
小二 英文 (P2 English)
小三 英文 (P3 English)
小五 英文 香海正覺蓮社佛教正慧小學
小五 英文 (P5 English)
中五 英文 皇仁書院
小一 英文 (P1 English)
小二 英文 粉嶺公立學校
小五 英文 (P5 English)
小五 英文 (P5 English)
中一 英文 聖羅撒書院
小一 英文 香海正覺蓮社佛教正慧小學
小二 英文 博愛醫院歷屆總理聯誼會鄭任安夫人學校
小五 英文 (P5 English)
小五 英文 (P5 English)
小三 英文 荃灣天主教小學
小一 英文 順德聯誼總會胡少渠紀念小學
小三 英文 旅港開平商會學校
小二 英文 聖公會聖多馬小學
小四 英文 長沙灣天主教小學
中一 英文 香港神託會培基書院
小二 英文 筲箕灣崇真學校
小五 英文 道教青松小學
小六 英文 香港真光中學(小學部)
小六 英文 合一堂學校
小二 英文 三水同鄉會禤景榮學校
小六 英文 慈幼葉漢千禧小學
小五 英文 玫瑰崗學校
小五 英文 (P5 English)
中六 英文 中華基督教會燕京書院
小一 英文 (P1 English)
小二 英文 聖公會李兆強小學
小六 英文 南元朗官立小學
小二 英文 中華基督教會基真小學
小五 英文 觀塘官立小學〈秀明道〉
小三 英文 旅港開平商會學校
小五 英文 香海正覺蓮社佛教正慧小學
小四 英文 (P4 English)
小四 英文 (P4 English)
小六 英文 (P6 English)
中一 英文 (F1 English)
小二 英文 (P2 English)
小三 英文 浸信宣道會呂明才小學
小三 英文 (P3 English)
小三 英文 博愛醫院歷屆總理聯誼會鄭任安夫人千禧小學
中六 英文 東華三院黃笏南中學
小五 英文 基督教聖約教會堅樂小學
小四 英文 大埔浸信會公立學校
小三 英文 軒尼詩道官立小學
小五 英文 (P5 English)
小四 英文 (P4 English)
小五 英文 (P5 English)
小二 英文 香海正覺蓮社佛教正慧小學
中一 英文 英華書院
小五 英文 大埔崇德黃建常紀念學校
小五 英文 (P5 English)
中三 英文 沙田蘇浙公學
小六 英文 合一堂學校
小二 英文 聖公會阮鄭夢芹銀禧小學
小三 英文 筲箕灣崇真學校
小四 英文 觀塘官立小學〈秀明道〉
中一 英文 香港神託會培基書院
小三 英文 (P3 English)
小三 英文 (P3 English)
小四 英文 (P4 English)
小一 英文 筲箕灣崇真學校
小三 英文 (P3 English)
小二 英文 基督教宣道會宣基小學
中六 英文 東華三院李嘉誠中學
小二 英文 聖方濟各英文小學
小一 英文 聖公會阮鄭夢芹小學
小五 英文 (P5 English)
小六 英文 路德會梁鉅鏐小學
小六 英文 (P6 English)
小三 英文 太古小學
小六 英文 (P6 English)
中一 英文 (F1 English)
小一 英文 荃灣官立小學
小二 英文 筲箕灣崇真學校
小二 英文 筲箕灣崇真學校
小五 英文 合一堂學校
中二 英文 (F2 English)
小五 英文 (P5 English)
小二 英文 (P2 English)
小二 英文 香港真光中學(小學部)
小一 英文 拔萃女小學
小二 英文 瑪利諾修院學校(小學部)
小二 英文 天主教明德學校
小五 英文 基督教香港信義會禾輋信義學校
小四 英文 (P4 English)
小四 英文 九龍塘宣道小學
小四 英文 (P4 English)
小四 英文 (P4 English)
小四 英文 天主教聖安德肋小學
小四 英文 (P4 English)
小五 英文 (P5 English)
小一 英文 秀明小學
小四 英文 聖若瑟小學
中六 英文 迦密主恩中學
中一 英文 聖言中學
小三 英文 聖方濟各英文小學
小一 英文 筲箕灣崇真學校
中一 英文 陳瑞祺(喇沙)書院
小二 英文 (P2 English)
小五 英文 (P5 English)
小三 英文 (P3 English)
小三 英文 (P3 English)
小二 英文 筲箕灣崇真學校
小四 英文 大埔崇德黃建常紀念學校
小四 英文 (P4 English)
小二 英文 (P2 English)
小四 英文 將軍澳天主教小學
中二 英文 英華書院
小二 英文 慈幼葉漢千禧小學
小五 英文 迦密愛禮信小學
小二 英文 慈幼葉漢小學
小六 英文 (P6 English)
小三 英文 (P3 English)
小二 英文 (P2 English)
小五 英文 (P5 English)
小五 英文 (P5 English)
小三 英文 聖公會基愛小學
小二 英文 筲箕灣崇真學校
小三 英文 聖公會青衣邨何澤芸小學
小二 英文 聖若瑟小學
小三 英文 保良局方王錦全小學
小一 英文 民生書院
小四 英文 觀塘官立小學〈秀明道〉
小一 英文 荔枝角天主教小學
小一 英文 香港浸信會聯會小學
小一 英文 民生書院小學
小五 英文 保良局西區婦女福利會馮李佩瑤小學
小一 英文 觀塘官立小學
小四 英文 寶血小學
小四 英文 (P4 English)
小四 英文 (P4 English)
小四 英文 (P4 English)
小四 英文 (P4 English)
小五 英文 (P5 English)
小三 英文 (P3 English)
小六 英文 保良局馮晴紀念小學
小二 英文 中華基督教會基真小學
小一 英文 聖公會聖彼得小學
小三 英文 (P3 English)
小一 英文 (P1 English)
小一 英文 順德聯誼總會胡少渠紀念小學
小一 英文 筲箕灣崇真學校
小三 英文 樂華天主教小學
小一 英文 培僑小學
小一 英文 筲箕灣崇真學校
小五 英文 救世軍中原慈善基金皇后山學校
中一 英文 中華基督教會基新中學
小二 英文 深水埗官立小學
小四 英文 佐敦谷聖若瑟天主教小學
小三 英文 中華基督教會基慈小學
小四 英文 (P4 English)
小五 英文 (P5 English)
小一 英文 (P1 English)
小三 英文 太古小學
小一 英文 軒尼詩道官立小學
小六 英文 光明學校
小一 英文 九龍真光中學(小學部)
小二 英文 聖方濟各英文小學
小四 英文 (P4 English)
小六 英文 聖公會何澤芸小學
中二 英文 迦密中學
小四 英文 順德聯誼總會李金小學
小五 英文 (P5 English)
小五 英文 (P5 English)
小六 英文 (P6 English)
小二 英文 (P2 English)
小三 英文 玫瑰崗學校
小四 英文 香港真光中學(小學部)
小四 英文 天主教聖安德肋小學
中六 英文 皇仁書院
中六 英文 (F6 English)
小四 英文 嘉諾撒小學(新蒲崗)
小四 英文 (P4 English)
小五 英文 聖保羅書院小學
小五 英文 上水宣道小學
小四 英文 播道書院
小一 英文 聖若瑟英文小學
小二 英文 聖方濟各英文小學
中三 英文 迦密柏雨中學
中一 英文 英皇書院
小四 英文 (P4 English)
小三 英文 番禺會所華仁小學
小四 英文 旅港開平商會學校
小一 英文 保良局梁周順琴小學
小一 英文 筲箕灣崇真學校
小一 英文 (P1 English)
小二 英文 博愛醫院歷屆總理聯誼會鄭任安夫人千禧小學
小二 英文 聖方濟各英文小學
小三 英文 天主教明德學校
小四 英文 (P4 English)
小四 英文 (P4 English)
小四 英文 玫瑰崗學校
小四 英文 (P4 English)
小四 英文 播道書院
小四 英文 (P4 English)
小四 英文 旅港開平商會學校
小四 英文 (P4 English)
小五 英文 嘉諾撒聖瑪利學校
小一 英文 青山天主教小學
中六 英文 迦密主恩中學
小四 英文 元朗官立小學
小三 英文 慈幼葉漢小學
中六 英文 (F6 English)
小一 英文 大角嘴天主教小學(海帆道)
小六 英文 軒尼詩道官立小學(銅鑼灣)
小一 英文 香港真光中學(小學部)
小五 英文 (P5 English)
小四 英文 香港真光中學(小學部)
小四 英文 滬江小學
小一 英文 聖方濟各英文小學
小四 英文 (P4 English)
小四 英文 (P4 English)
小四 英文 (P4 English)
小五 英文 (P5 English)
小二 英文 聖公會聖彼得小學
小四 英文 旅港開平商會學校
中一 英文 九龍真光中學
小一 英文 深井天主教小學
小五 英文 基督教香港信義會葵盛信義學校
小一 英文 大角嘴天主教小學
小一 英文 博愛醫院歷屆總理聯誼會鄭任安夫人學校
中六 英文 (F6 English)
小四 英文 香港嘉諾撒學校
小五 英文 (P5 English)
小五 英文 聖保祿天主教小學
小一 英文 中華基督教會基真小學
小四 英文 大埔崇德黃建常紀念學校
小一 英文 屯門官立小學
小四 英文 (P4 English)
小一 英文 (P1 English)
小三 英文 港澳信義會小學
小一 英文 (P1 English)
小四 英文 (P4 English)
小四 英文 (P4 English)
小四 英文 (P4 English)
小四 英文 (P4 English)
小四 英文 播道書院
小四 英文 (P4 English)
小四 英文 播道書院
小四 英文 (P4 English)
小四 英文 (P4 English)
小四 英文 (P4 English)
小四 英文 玫瑰崗學校
小四 英文 (P4 English)
小四 英文 油蔴地天主教小學(海泓道)
中三 英文 庇理羅士女子中學
小一 英文 筲箕灣崇真學校
小一 英文 (P1 English)
小一 英文 新界婦孺福利會有限公司梁省德學校
小三 英文 樂華天主教小學
小一 英文 (P1 English)
小四 英文 將軍澳天主教小學
小三 英文 勵志會梁李秀娛紀念小學
小六 英文 聖公會仁立小學
小六 英文 (P6 English)
小四 英文 (P4 English)
小一 英文 (P1 English)
小四 英文 (P4 English)
小四 英文 (P4 English)
小四 英文 (P4 English)
小四 英文 (P4 English)
小四 英文 玫瑰崗學校
小四 英文 (P4 English)
小五 英文 喇沙小學
中二 英文 迦密柏雨中學
中三 英文 順德聯誼總會梁銶琚中學
小三 英文 樂華天主教小學
小一 英文 聖保祿天主教小學
小一 英文 筲箕灣崇真學校
小一 英文 聖方濟各英文小學
小六 英文 聖公會偉倫小學
小一 英文 聖公會靈愛小學
小二 英文 香港真光中學(小學部)
小一 英文 瑪利諾修院學校(小學部)
中四 英文 旅港開平商會中學
小五 英文 聖方濟各英文小學
小四 英文 天主教聖安德肋小學
小四 英文 天主教聖安德肋小學
中六 英文 皇仁書院
中六 英文 皇仁書院
中六 英文 (F6 English)
中三 英文 浸信會呂明才中學
小一 英文 聖保祿學校
小三 英文 (P3 English)
小四 英文 (P4 English)
小四 英文 (P4 English)
小六 英文 (P6 English)
中四 英文 皇仁書院
小四 英文 (P4 English)
小三 英文 聖類斯中學(小學部)
小五 英文 軒尼詩道官立小學(銅鑼灣)
小一 英文 聖公會聖彼得小學
中一 英文 保良局百周年李兆忠紀念中學
小一 英文 玫瑰崗學校
小一 英文 五邑工商總會學校
小一 英文 港澳信義會小學
中一 英文 聖保羅書院
中一 英文 順德聯誼總會梁銶琚中學
小四 英文 (P4 English)
小四 英文 (P4 English)
小四 英文 九龍塘宣道小學
小四 英文 (P4 English)
小五 英文 喇沙小學
小一 英文 軒尼詩道官立小學
小一 英文 聖母小學
小四 英文 玫瑰崗學校
小五 英文 嘉諾撒聖瑪利學校
中一 英文 旅港開平商會中學
中三 英文 浸信會呂明才中學
小一 英文 瑪利諾修院學校(小學部)
小四 英文 大埔舊墟公立學校(寶湖道)
中五 英文 聖保羅書院
小一 英文 慈幼葉漢小學
小三 英文 番禺會所華仁小學
小一 英文 嘉諾撒聖瑪利學校
小一 英文 (P1 English)
小一 英文 (P1 English)
中二 英文 順德聯誼總會梁銶琚中學
小四 英文 香港真光中學(小學部)
中二 英文 庇理羅士女子中學
中一 英文 聖保羅書院
中一 英文 聖保羅書院
中三 英文 庇理羅士女子中學
中二 英文 浸信會呂明才中學
中六 英文 (F6 English)
小一 英文 瑪利諾修院學校(小學部)
中一 英文 聖若瑟書院
中三 英文 順德聯誼總會梁銶琚中學
小一 英文 (P1 English)
中五 英文 浸信會呂明才中學
小四 英文 (P4 English)
小四 英文 (P4 English)
小四 英文 (P4 English)
小四 英文 (P4 English)
中四 英文 庇理羅士女子中學
中六 英文 皇仁書院
中六 英文 沙田崇真中學
小一 英文 聖保祿學校(小學部)
中五 英文 旅港開平商會中學
小一 英文 番禺會所華仁小學
中六 英文 聖保羅書院
小二 英文 聖公會聖彼得小學
小四 英文 香港真光中學(小學部)
小四 英文 油蔴地天主教小學(海泓道)
中六 英文 沙田崇真中學
中六 英文 皇仁書院
中六 英文 皇仁書院
小四 英文 慈幼葉漢小學
小三 英文 番禺會所華仁小學
中一 英文 庇理羅士女子中學
中一 英文 迦密柏雨中學
中一 英文 聖若瑟書院
中三 英文 浸信會呂明才中學
中三 英文 風采中學(教育評議會主辦)
中一 英文 迦密柏雨中學
中二 英文 順德聯誼總會梁銶琚中學
中二 英文 順德聯誼總會梁銶琚中學
中三 英文 浸信會呂明才中學
中三 英文 皇仁書院
中二 英文 庇理羅士女子中學
小四 英文 油蔴地天主教小學(海泓道)
小四 英文 油蔴地天主教小學(海泓道)
中三 英文 庇理羅士女子中學
中四 英文 庇理羅士女子中學
中六 英文 皇仁書院
中六 英文 嘉諾撒聖心書院
中六 英文 皇仁書院
中四 英文 旅港開平商會中學
小五 英文 聖保祿天主教小學
小一 英文 香港嘉諾撒學校
小四 英文 大埔舊墟公立學校(寶湖道)
中一 英文 庇理羅士女子中學
中一 英文 庇理羅士女子中學
小五 英文 (P5 English)
小四 英文 (P4 English)
小四 英文 (P4 English)
小四 英文 (P4 English)
中一 英文 迦密柏雨中學
中一 英文 聖若瑟書院
中一 英文 聖若瑟書院
小二 英文 中華基督教會基真小學
中一 英文 喇沙書院
中一 英文 (F1 English)
中一 英文 庇理羅士女子中學
中一 英文 庇理羅士女子中學
中一 英文 迦密中學
中二 英文 庇理羅士女子中學
中三 英文 庇理羅士女子中學
中四 英文 庇理羅士女子中學
中四 英文 庇理羅士女子中學
中六 英文 皇仁書院
中六 英文 皇仁書院
中六 英文 皇仁書院
中六 英文 皇仁書院
中四 英文 旅港開平商會中學
中六 英文 旅港開平商會中學
小四 英文 油蔴地天主教小學(海泓道)
小一 英文 番禺會所華仁小學
中六 英文 聖保羅書院
中二 英文 庇理羅士女子中學
中二 英文 庇理羅士女子中學
中二 英文 庇理羅士女子中學
中二 英文 庇理羅士女子中學
小四 英文 油蔴地天主教小學(海泓道)
中六 英文 嘉諾撒聖心書院
中六 英文 皇仁書院
小一 英文 嘉諾撒聖瑪利學校
中四 英文 旅港開平商會中學
小三 英文 高主教書院小學部
中一 英文 迦密柏雨中學
中三 英文 張祝珊英文中學
中四 英文 聖言中學
中五 英文 浸信會呂明才中學
中五 英文 浸信會呂明才中學
中五 英文 浸信會呂明才中學
中二 英文 庇理羅士女子中學
中二 英文 庇理羅士女子中學
中二 英文 庇理羅士女子中學
中二 英文 庇理羅士女子中學
中二 英文 庇理羅士女子中學
中二 英文 庇理羅士女子中學
中四 英文 旅港開平商會中學
英文 (P. English)
英文 (P. English)
小三 英文 東華三院港九電器商聯會小學
小三 英文 筲箕灣崇真學校
小二 英文 喇沙小學
小五 英文 ---
小一 英文 福建中學附屬學校
小六 英文 聖博德天主教小學(蒲崗村道)
小四 英文 聖公會聖十架小學
中一 英文 伊利沙伯中學
中一 英文 香港培道中學
中一 英文 香港培道中學
小一 英文 筲箕灣崇真學校
小一 英文 筲箕灣崇真學校
小一 英文 筲箕灣崇真學校
小一 英文 筲箕灣崇真學校
小五 英文 嘉諾撒小學(新蒲崗)
小二 英文 ---
小二 英文 ---
小一 英文 屯門官立小學
小一 英文 中華基督教會基慈小學
小三 英文 油蔴地天主教小學(海泓道)
小一 英文 聖若瑟小學
小四 英文 st. paul's convent school
中一 英文 沙田循道衞理中學
小三 英文 聖公會奉基千禧小學
小四 英文 地利亞英文小學暨幼稚園
中六 英文 St. Francis of Assisi's English Primary School
小二 英文 拔萃男書院附屬小學
小一 英文 聖若瑟小學
小一 英文 聖若瑟小學
小三 英文 油蔴地天主教小學(海泓道)
中一 英文 皇仁書院
中一 英文 皇仁書院
中一 英文 播道書院
中一 英文 播道書院
中一 英文 播道書院
中一 英文 皇仁書院
中一 英文 皇仁書院
小六 英文 軒尼詩道官立小學
小一 英文 (P1 English)
中一 英文 (F1 English)
中一 英文 (F1 English)
小六 英文 (P6 English)
小五 英文 (P5 English)
小四 英文 (P4 English)
小五 英文 (P5 English)
小六 英文 (P6 English)
小三 英文 吳氏宗親總會泰伯紀念學校
小六 英文 港大同學會小學
小六 英文 (P6 English)
中一 英文 (F1 English)
小六 英文 保良局黃永樹小學
中三 英文 (F3 English)
中一 英文 (F1 English)
中二 英文 德望學校
小五 英文 聖安多尼學校
小五 英文 聖安多尼學校
小五 英文 聖安多尼學校
小六 英文 聖安多尼學校
小五 英文 聖安多尼學校
小四 英文 (P4 English)
小四 英文 (P4 English)
小四 英文 (P4 English)
小四 英文 (P4 English)
小四 英文 (P4 English)
小四 英文 (P4 English)
小五 英文 (P5 English)